Analytics Calculators better insights and decisions, one calculation at a time!
  • Home
  • Calculator
  • Formulas
  • References
  • Related Calculators
    • X
  • Skip Navigation LinksStructural Equation Model Sample Size Formulas

Structural Equation Model Sample Size Formulas

Below you will find descriptions and details for the 3 formulas that are used to compute sample sizes for structural equation model (SEM) studies involving latent variables.

Cumulative distribution function (CDF) for the normal distribution:
Cumulative distribution function (CDF) for the normal distribution formula
Variable definitions:
ยต = mean
σ = standard deviation
erf = error function
Error function:
Error function formula
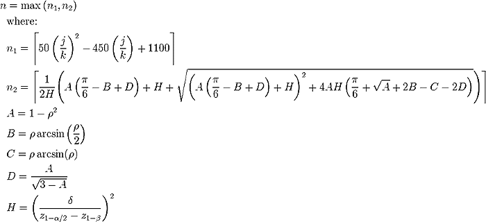
Structural equation model (SEM) lower bound sample size:
Structural equation model (SEM) lower bound sample size formula
Variable definitions:
j = number of observed variables
k = number of latent variables
ρ = estimated Gini correlation for a bivariate normal random vector
δ = anticipated effect size
α = Sidak-corrected Type I error rate
β = Type II error rate
z = a standard normal score
Related Resources
Calculator Formulas References Related Calculators Search
Analytics Calculators version 2.0

The Analytics Calculators index now contains 106 free analytics calculators!

Copyright © 2015 - 2026 by Dr. Daniel Soper. All rights reserved.

Privacy Policy