Analytics Calculators better insights and decisions, one calculation at a time!
  • Home
  • Calculator
  • Formulas
  • References
  • Related Calculators
    • X
  • Skip Navigation Links2x3 Contingency Table Exact Test Formulas

2x3 Contingency Table Exact Test Formula

Below you will find descriptions and details for the formula that is used to compute exact test probabilities (p-values) for 2x3 contingency tables.

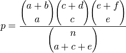
2x3 contingency table hypergeometric probability value:
2x3 contingency table hypergeometric probability value formula
Variable definitions:
a, b, c, d, e, and f = the number of observations in each cell
n = total sample size
binomial coefficient = a binomial coefficient
Related Resources
Calculator Formulas References Related Calculators Search
Analytics Calculators version 2.0

The Analytics Calculators index now contains 106 free analytics calculators!

Copyright © 2015 - 2026 by Dr. Daniel Soper. All rights reserved.

Privacy Policy