Analytics Calculators better insights and decisions, one calculation at a time!
  • Home
  • Calculator
  • Formulas
  • References
  • Related Calculators
    • X
  • Skip Navigation Linkst-Test Sample Size Formulas

t-Test Sample Size Formulas

Below you will find descriptions and details for the 7 formulas that are used to compute sample sizes for studies that use t-tests.

Beta function:
Beta function formula
Cumulative distribution function (CDF) for the noncentral t-distribution:
Cumulative distribution function (CDF) for the noncentral t-distribution formula
Variable definitions:
μ = noncentrality parameter
v = degrees of freedom
Γ = gamma function
I = regularized lower incomplete beta function
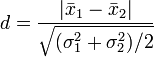
Effect size for a t-test (Cohen's d):
Effect size for a t-test (Cohen's d) formula
Variable definitions:
x1 and x2 = the means of group 1 and group 2
σ12 and σ22 = the variances of group 1 and group 2
Gamma function:
Gamma function formula
Lower incomplete beta function:
Lower incomplete beta function formula
Noncentrality parameter for the noncentral t-distribution:
Noncentrality parameter for the noncentral t-distribution formula
Variable definitions:
d = Cohen's d effect size
n1 and n2 = the sample sizes for group 1 and group 2
Regularized lower incomplete beta function:
Regularized lower incomplete beta function formula
Variable definitions:
the numerator = lower incomplete beta function
the denominator = beta function
Related Resources
Calculator Formulas References Related Calculators Search
Analytics Calculators version 2.0

The Analytics Calculators index now contains 106 free analytics calculators!

Copyright © 2015 - 2026 by Dr. Daniel Soper. All rights reserved.

Privacy Policy