Analytics Calculators better insights and decisions, one calculation at a time!
  • Home
  • Calculator
  • Formulas
  • References
  • Related Calculators
    • X
  • Skip Navigation LinksCorrelation Coefficient Probability Formulas

Correlation Coefficient Probability Formulas

Below you will find descriptions and details for the 5 formulas that are used to compute probabilities (p-values) for Pearson correlation coefficients.

Beta function:
Beta function formula
Cumulative distribution function (CDF) for the t-distribution:
Cumulative distribution function (CDF) for the t-distribution formula
Variable definitions:
v = degrees of freedom
t = upper limit of integration
I = regularized lower incomplete beta function
Lower incomplete beta function:
Lower incomplete beta function formula
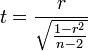
Pearson correlation t-value:
Pearson correlation t-value formula
Variable definitions:
r = Pearson correlation coefficient
n = total sample size
Regularized lower incomplete beta function:
Regularized lower incomplete beta function formula
Variable definitions:
the numerator = lower incomplete beta function
the denominator = beta function
Related Resources
Calculator Formulas References Related Calculators Search
Analytics Calculators version 2.0

The Analytics Calculators index now contains 106 free analytics calculators!

Copyright © 2015 - 2026 by Dr. Daniel Soper. All rights reserved.

Privacy Policy